الرئيسية
أحداث محلية
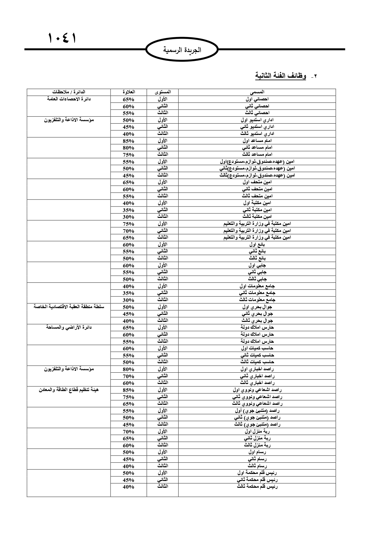
أحداث اليوم تنشر قيمة العلاوات الإضافية للموظفين
نقود اردنية/ عدسة احمد حمدان
أحداث اليوم -
قرر مجلس الوزراء الموافقة على تعليمات منح العلاوات الإضافية للموظفين لسنة 2021، وفق عدد الجريدة الرسمية الثلاثاء.
ويأتي القرار بالاستناد إلى أحكام المادة 25 من نظام الخدمة المدنية رقم 9 لسنة 2020.
وتاليا التفاصيل:
وللاطلاع على التعليمات: اضغط هنا
[16-03-2021 04:02 PM]
التعليقات حالياً متوقفة من الموقع




الرجاء الانتظار ...